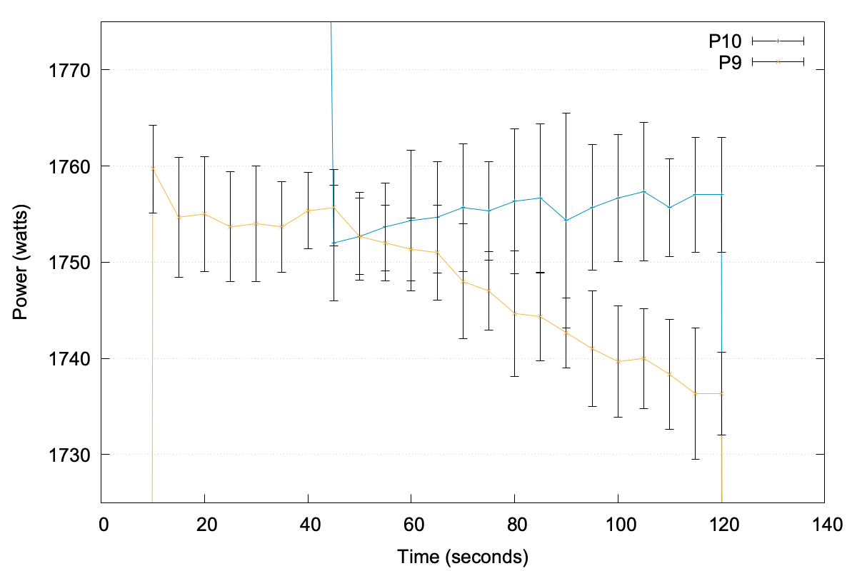
Power over time for P10 and P9. Published May 22, 2021 at 1200 × 800 in The 1.676hp Microwave Saga: Part 2 ← Previous Input power for P9 & P10 sampled at five second intervals over two minutes with truncated power axis to show detail.