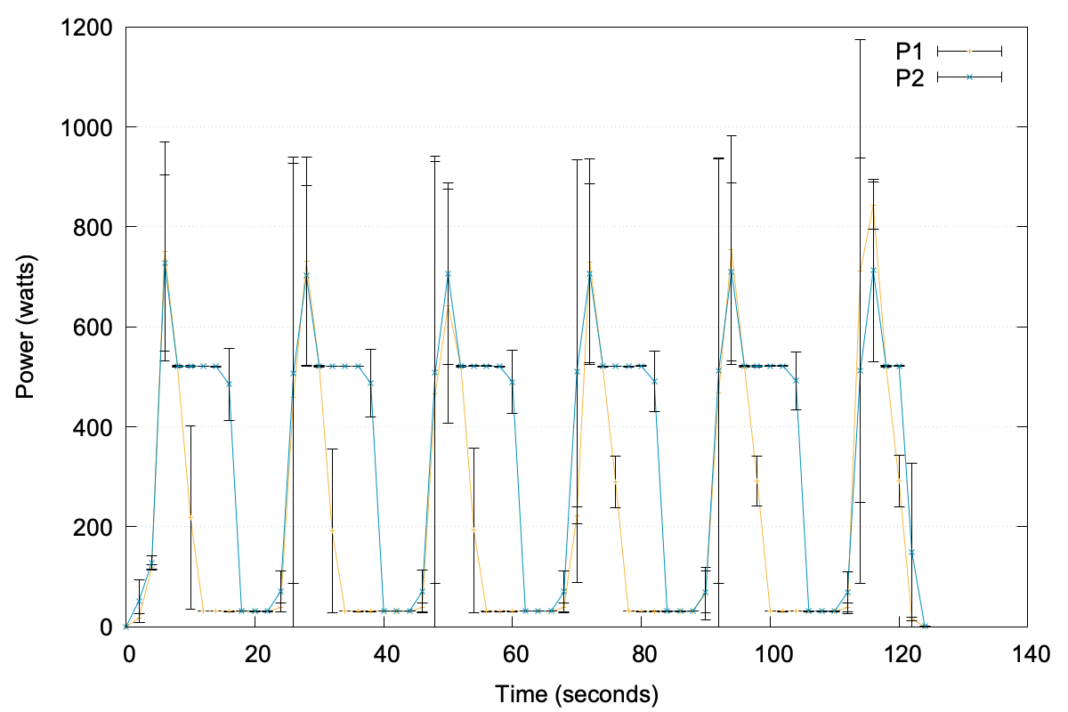
Power versus time for power levels 1 & 2 Published May 23, 2021 at 1200 × 800 in The 1.676hp Microwave Saga: Part 3 Next → Input power over time sampled at two second intervals for power levels 1 & 2.