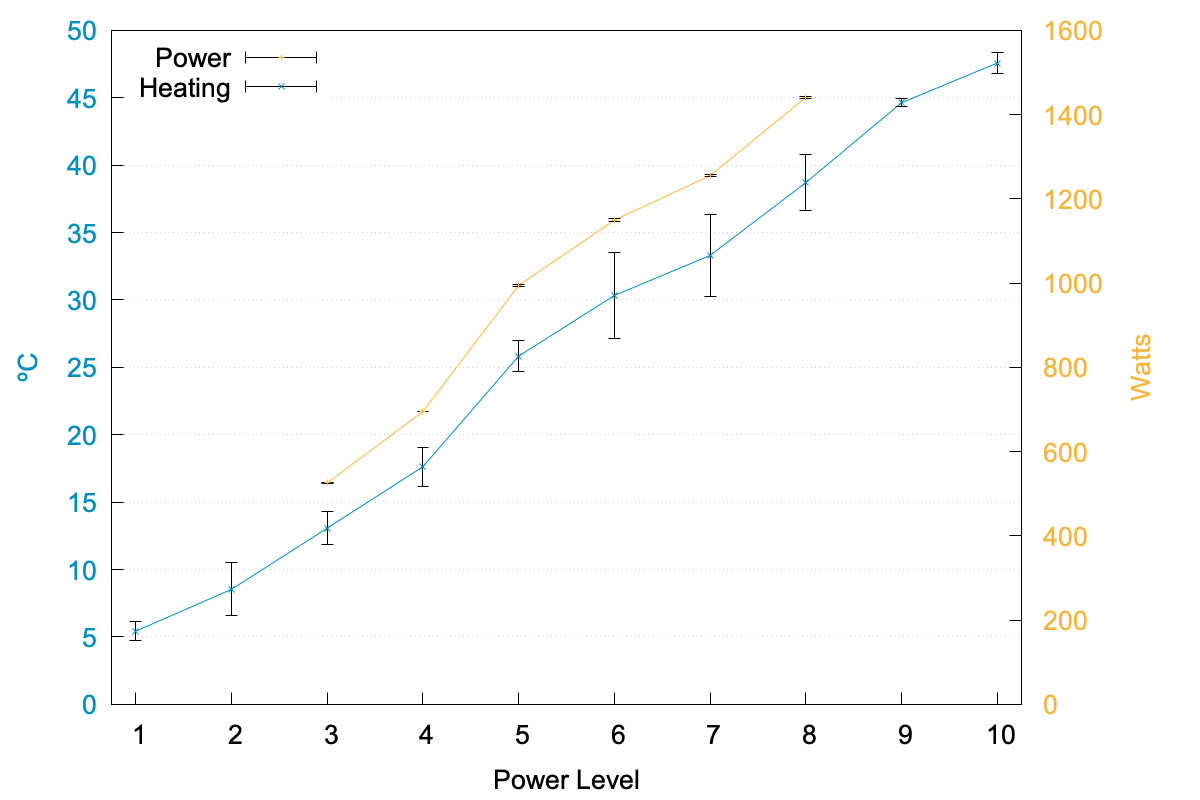
Power and Heating vs. Power Published May 22, 2021 at 1200 × 800 in The 1.676hp Microwave Saga: Part 1 Next → Power used and total heating for 500g of water over two minutes.