After over two decades of faithful service, our trusty 1100W microwave recently failed, giving us the opportunity to upgrade to a more modern 1250W microwave with an inverter. Unfortunately the extra power has caused some problems in estimating power levels and cook times, as most instructions are based on an 1100W model.
Initial observation:
Most microwave instructions are based on an 1100W (1.475hp) microwave, but modern microwave ovens comparable to our old 1100W model are typically 1250W (1.676hp).
Question:
What power levels on a 1250W microwave correspond to full power and 50% power on an 1100W model?
Expectation:
Since 1100 is 88% of 1250, on a microwave with 10 power levels, one would expect 1100W to be just under level 9, assuming linear power mapping. Similarly, 50% of 1100W is 44% of 1250W, so one would expect such a level between power levels 4 and 5.
Equipment & Materials:
- 1250W Microwave* (preferably with white LED display)
- Kill-A-Watt* (optional)
- High precision kitchen scale*
- High precision instant read thermometer
- Cold tap water (optionally in a pitcher)
- Microwave safe containers*
- Spoon
Procedure:
An initial survey of frozen meals indicated that they are typically between 300g and 600g. Thus 500g was chosen for the quantity of water to use in each trial.
In a preliminary test, 501.0 grams of tap water was heated by about 47ºF (26ºC) in 60 seconds on high (P10). Since the tap water started around 50ºF, heating 500 grams for 120 seconds should raise the temperature approximately 94ºF (52ºC) to about 150ºF, which should be high enough to get useful data without risking superheating the water.
- Plug the microwave into the Kill-A-Watt.
- Measure 500g of cold tap water into microwave safe container. Note: The spoon was useful in adding/removing up to 5g of water at a time, but small adjustments can lead to measurement error.
- Place an empty container on the scale and press tare button, transfer the water to this container (this avoids small adjustment errors) being careful to not cause a seiche in the second container.
- Record the mass of the water.
- Measure and record initial temperature of the water.
- Microwave water for 120 seconds at full power.
- While microwave is running, record the power usage.
- Stir water with spoon to account for any uneven heating.
- Measure and record final temperature of water.
- Carefully dispose of the hot water.
- Repeat steps 2 through 10 for each power level.
- Repeat steps 2 through 11 three times for statistical analysis.
Data:
Many microwave ovens (e.g., the old 1100W model) turn the magnetron (microwave source) on and off to get average power levels below high using pulse-width modulation, much like a thermostat or toaster oven. The microwave used in this experiment utilizes an inverter which allows it to deliver continuous microwave energy at lower levels.
While collecting data, there were anomalies in power usage readings for power levels 1, 2, 9, & 10. In all four of these cases, the watts reported by the Kill-A-Watt fluctuated through the trial. Power levels 9 & 10 had to be rerun after letting the microwave rest for a while due to oddities in the temperature data where later trials were significantly cooler than the first trials.
The table below gives the averages and 95% confidence interval for each measured value as well as the resulting temperature change.
| Power Level | Mass (g) | Initial Temp. (ºC) | Power |
Final Temp. (ºC) | Temp. Change (ºC) |
| P10 |
500.00 ±0.82 |
12.30 ±0.30 |
Anomalous Data |
59.87 ±0.73 |
47.57 ±0.79 |
| P9 |
499.80 ±0.34 |
12.93 ±0.24 |
57.57 ±0.17 |
44.63 ±0.29 |
|
| P8 |
499.93 ±1.07 |
15.07 ±1.76 |
1440.67 ±2.85 |
53.77 ±1.08 |
38.70 ±2.06 |
| P7 |
500.13 ±0.13 |
14.83 ±2.38 |
1255.00 ±1.96 |
48.13 ±1.92 |
33.30 ±3.06 |
| P6 |
500.37 ±0.98 |
14.63 ±2.27 |
1149.33 ±2.85 |
44.97 ±2.20 |
30.33 ±3.16 |
| P5 |
500.93 ±1.25 |
14.07 ±0.88 |
994.33 ±2.36 |
39.90 ±0.69 |
25.83 ±1.12 |
| P4 |
500.67 ±0.17 |
14.20 ±1.02 |
695.33 ±0.65 |
31.83 ±1.02 |
17.63 ±1.44 |
| P3 |
500.23 ±0.28 |
14.17 ±0.91 |
525.33 ±0.65 |
27.23 ±0.79 |
13.07 ±1.21 |
| P2 |
500.37 ±0.98 |
13.67 ±1.41 |
Anomalous Data |
22.20 ±1.38 |
8.53 ±1.97 |
| P1 |
500.37 ±0.43 |
13.50 ±0.57 |
18.93 ±0.46 |
5.43 ±0.73 |
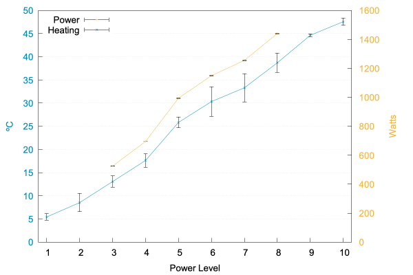
Below is a graph showing the amount of heating achieved and the power used for different power levels on the microwave. Power values are not shown for power levels 1, 2, 9, & 10 due to the inconsistent readings.

Input power in Watts and total heating in ºC for 500g of water after two minutes at each power level.
There seems to be strong correlation between input power and total heating. When heating is plotted as a function of input power, this is more evident. Below is a graph showing this linear relationship between input power and total heating. Using linear regression, if can be shown that the R² of a linear fit is 0.9998 (1.0 would be a perfect fit).
Ideally, similar data would be collected using an 1100W microwave as well, however the only 1100W microwave we have access to is non-functional. As an alternative, one could assume that 1100W would heat water proportionally to 1250W, thus if a 1250W microwave heated the water by 47.57ºC, an 1100W microwave would heat it by 1100/1250=88% that amount, or 41.86±0.70ºC. This would put 1100W just above P8.
However, due to the strange power readings during the P10 trials, it is suspected that P10 was not heating as consistently as other power levels. The preliminary data also indicated that that P10 would heat the water 52ºC, which is well above the 95% confidence interval, indicating a reduction in average power between one and two minutes. Scaling the 52ºC estimate to 1100W gives 45.8ºC, which is above P9 (which also had anomalous power readings).
Since 1100W cannot be both above and below P9, these results are inconclusive.
Surprise Results:
For power levels 1, 2, 9, & 10, the data is very odd and will be covered in future posts. For power levels 9 & 10 the Kill-A-Watt even beeped and flashed the display indicating that the microwave was drawing over 15 amps.
Conclusion:
Due to the inconsistent results for the higher power levels, no conclusive conclusion can be drawn. Hopefully collecting additional data will lead to a better understanding of the observed anomalies.
Future Questions:
What is the nature of the power anomalies for the highest and lowest power level and can a better understanding of those fluctuations help pin down the actual power output of each setting?

Pingback: The 1.676hp Microwave Saga: Part 2 | Doing Science To Stuff
Pingback: The 1.676hp Microwave Saga: Part 3 | Doing Science To Stuff
Pingback: The 1.676hp Microwave Saga: Part 4 | Doing Science To Stuff