While attempting to determine which power level on a new 1250W microwave corresponds to 1100W, some of the data collected was a bit odd. So we needed to take a closer look to see what was going on. Here we examine power levels P9 and P10.
Initial observation:
While collecting data in a previous experiment, the Kill-A-Watt would beep and flash. The readings it was displaying were also well above the maximum watts for a 15 amp circuit at 120 volts. But after about 40 seconds it settled down to more reasonable power levels.
Question:
What is going on with the unexpectedly high power consumption when using power levels 9 and 10? Additionally, will a better understanding of the power usage help explain inconsistencies in our first experiment and help to better estimate the power levels of each setting?
Equipment & Materials:
- 1250W Microwave* (preferably with white LED display)
- Kill-A-Watt*
- Camera*
- High precision kitchen scale*
- High precision instant read thermometer
- Cold tap water (optionally in a pitcher)
- Microwave safe containers*
- Spoon
Procedure:
- Avoid using the microwave for several hours.
- Plug the microwave into the Kill-A-Watt.
- Measure 500g of cold tap water into microwave safe container.
- Record the mass of the water.
- Measure and record initial temperature of the water.
- Point camera at Kill-A-Watt and start recording.
- Microwave water for 120 seconds at full power.
- Stir water with spoon to account for any uneven heating.
- Measure and record final temperature of water.
- Stop recording video.
- Carefully dispose of the hot water.
- Repeat steps 0 through 10 three times for statistical analysis.
- Repeat steps 0 through 11 with power level 9.
Data:
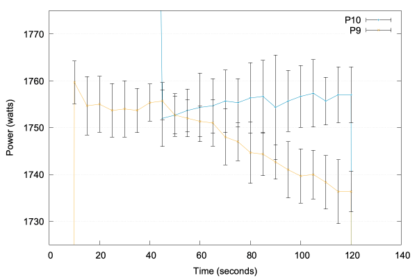
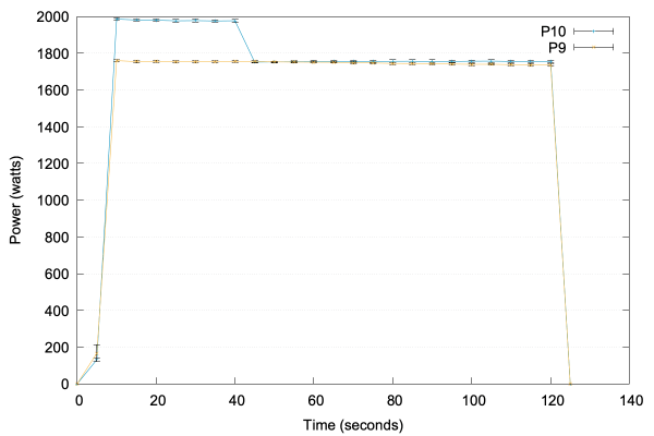
The video files were examined and the power indicated by the Kill-A-Watt was recorded at five second intervals, then averaged over the three trials for each sample point. A graph of this data with 95% confidence intervals is shown below.
For both P9 and P10 it takes a while to get up to full power and when they did get to a stable power level the Kill-A-Watt would flash and beep. With P10 the power initially goes up to almost 2000 watts (1979.14±2.72 when averaged over all 21 sample points), which is about 5% more than the 1875 watt maximum one would expect a 15 amp circuit to be able to provide at 120 volts. Then between 40 and 45 seconds into the two minutes, the power dropped from nearly 2000 watts to about 1755 watts (1755.31±1.44 when averaged over all 48 sample points) where it stayed for the remaining time. Presumably, the higher power level is when the magnetron is outputting 1250 watts.
The drop between 40 and 45 seconds would certainly help explain the discrepancy between how much heating actually occurs at P10 in two minutes (47.57±0.79ºC) versus an estimate (52ºC) based on a one minute sample. Since the higher power section is about 70% of the one minute trial but only 35% of a two minute trial, the one minute sample had an overall higher average power.
To understand the behavior of P9, it is useful to zoom in on upper part of the graph, as shown below.

Input power for P9 & P10 sampled at five second intervals over two minutes with truncated power axis to show detail.
For P9, the power level starts out at 1755.14±1.90 watts (when averaged over all 21 sample points), approximately where P10 ends up, but around the 40 second mark starts a gradual decline that continues until the end of the two minutes where it was at 1736.33±4.28 watts. By the end of the two minutes, the decrease has become statistically significant, but it is unclear how long the decline would continue.
Conclusion:
Based on this data, the top two power levels on this microwave only last for about 40 to 45 seconds, before either dropping 12% and staying there or gradually decreasing over time. This behavior helps explain why attempting to estimate the temperature increase over two minutes based on a one minute trial resulted in a major overestimate. More importantly, given the linear response between input power and temperature increase, having a precise measurement of the power consumption while the magnetron is outputting 1250W will help in estimating the output power of the magnetron for any input power. We just need one other data point with known output level to build the linear model.
Future Questions:
In these trials the microwave was only run for two minutes. At the end of the two minutes P9 was continuing to decline in the power consumed, at what point would the power stop dropping and how much power will it be consuming at that point? Additionally, is there a way to get another datapoint for input power with a known output power?

Pingback: The 1.676hp Microwave Saga: Part 3 | Doing Science To Stuff
Pingback: The 1.676hp Microwave Saga: Part 4 | Doing Science To Stuff