In our ongoing series attempting to determine which power level on a new 1250W microwave is closest to 1100W, we now take a closer look at the oddities of power levels P1 and P2.
Initial observation:
While attempting to characterize the heating ability of each power level in a new 1250W microwave, the power consumed fluctuated in unexpected ways in four of the power settings. We’ve previously discussed power levels 9 & 10, but power levels 1 & 2 fluctuated in a different manner.
Question:
What is going on with the fluctuations in power when using power levels 1 & 2? Additionally, will a better understanding of the power usage help to better estimate the power levels of each setting?
Equipment & Materials:
- 1250W Microwave* (preferably with white LED display)
- Kill-A-Watt*
- Camera*
- High precision kitchen scale*
- High precision instant read thermometer
- Cold tap water (optionally in a pitcher)
- Microwave safe containers*
- Spoon
Procedure:
- Plug the microwave into the Kill-A-Watt.
- Measure 500g of cold tap water into microwave safe container.
- Measure and record the mass of the water.
- Point camera at Kill-A-Watt and start recording.
- Measure and record initial temperature of the water.
- Microwave water for 120 seconds at power level 1.
- Stir water with spoon to account for any uneven heating.
- Measure and record final temperature of water.
- Repeat steps 5 through 8 three times.
- Stop recording video.
- Dispose of the warm-ish water.
- Repeat steps 2 through 11 with power level 2.
Data:
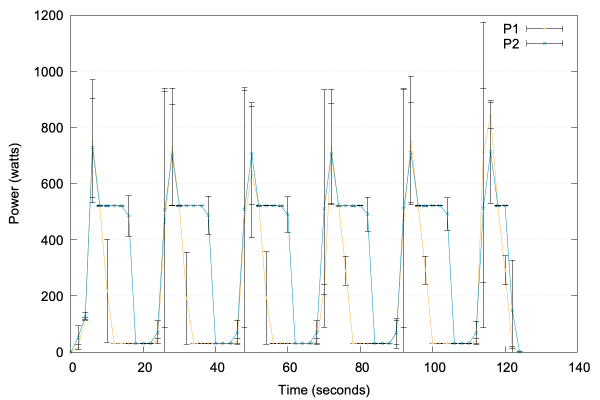
The video files were examined and the power indicated by the Kill-A-Watt was sampled at two second intervals, then averaged over the three trials for each sample point. A graph of this data with 95% confidence intervals is shown below.
Based on this data, it appears this microwave resorts to pulse-width modulation to get two additional low power levels, similar to how a microwave without an inverter gets most of its power levels. The fact that the inverter has eight levels makes me suspect that internally it has something similar to a voltage divider with three switchable inputs, since 2³=8, but the specifics of how the inverter works is outside the scope of this project.
Looking more closely at the power used by P2, it spikes rather high when the magnetron is turned on, but then settles down to 521.56±0.17 watts, which is very close to the 525 watts that was observed for P3. In the video it is clear that P1 also settles around 520 watts for a brief time, but two second samples do not capture that behavior.
Another interesting thing to note is that when the magnetron is off, and thus the output is zero watts, the power used is a consistent 31.00±0.30 watts. This gives us a second point to build a linear model to map input power to output power, the first being an input power of 1977.67±8.79 watts when outputting 1250 watts.
Using these data points, a linear model for power output can be built that gives the output power based on the observed input power. The results for each of the mostly stable power levels are given in the table below.
| Power | Input Power (watts) | Estimated Output Power (watts) |
| P10 | 1979.14±2.72 ⭢ 1755.31±1.44 | 1250.00±1.74 ⭢ 1106.38±1.56 |
| P9 | 1755.14±1.90 ⭢ 1736.33±4.28 | 1106.27±1.56 ⭢ 1094.20±1.55 |
| P8 | 1440.67±2.85 | 905.18±4.12 |
| P7 | 1255.00±1.96 | 785.96±3.60 |
| P6 | 1149.33±2.85 | 718.11±3.31 |
| P5 | 994.33±2.36 | 618.58±2.88 |
| P4 | 695.33±0.65 | 426.58±2.04 |
| P3 | 525.33±0.65 | 317.42±1.57 |
For power levels 1 & 2, the output level when the magnetron is on would be 314.76±0.58 watts, but is not on all the time.
Conclusion:
The fluctuations in the power usage for power levels 1 & 2 appear to be due to pulse-width modulation to get lower average output power. This was a bit unexpected for a microwave with an inverter, but does provide the data needed to build a model that can estimate the output power for each power level based on the input power measured by the Kill-A-Watt. Using a linear model we can conclude that P9 is equivalent to full power on an 1100W microwave. Unfortunately, 50% of 1100W or 550W does not map directly to one of the selectable power levels as 550W would be between P4 (426W) and P5 (618W), but closer to P5.
Future Questions:
Now that we know that P9 on our 1250W microwave delivers approximately 1100W of microwaves, does P9 produce acceptable results when microwaving frozen dinners? Similarly, when instructions call for 50%, does P4 or P5 work better?

Pingback: The 1.676hp Microwave Saga: Part 4 | Doing Science To Stuff